Mealy vs. Moore Machine: Verilog Code Examples
Advertisement
This page provides Verilog code examples for both Mealy and Moore Machines.
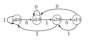
Mealy Machine Verilog Code
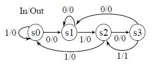
Here’s a look at the Mealy Machine, along with its corresponding Verilog code. In a Mealy machine, the output is determined by both the current state and the input.

module mealy_verilog_code(out, in, rst, clk);
output out;
input in;
input clk, rst;
reg out;
reg[1:0] state;
parameter s0 = 2'd0,
s1 = 2'd1,
s2 = 2'd2,
s3 = 2'd3;
always @(posedge clk or negedge rst)
if(rst == 0) begin
state = s0;
out = 0;
end
else begin
case (state)
s0: if(in == 0) begin
out = 0;
state = s1;
end
else begin
out = 0;
state = s0;
end
s1: if(in == 0) begin
out = 0;
state = s1;
end
else begin
out = 0;
state = s2;
end
s2: if(in == 0) begin
out = 0;
state = s3;
end
else begin
out = 0;
state = s0;
end
s3: if(in == 0) begin
out = 0;
state = s1;
end
else begin
out = 1;
state = s2;
end
default: state = s0;
endcase
end
endmodule
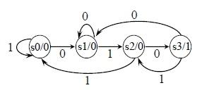
Moore Machine Verilog Code
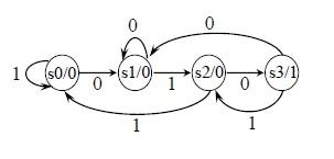
Now, let’s examine the Moore Machine and its Verilog implementation. In a Moore machine, the output is solely determined by the current state.

module moore_verilog_code(out, in, rst, clk);
output out;
input in;
input clk, rst;
reg out;
reg[1:0] state;
parameter s0 = 2'd0,
s1 = 2'd1,
s2 = 2'd2,
s3 = 2'd3;
always @(posedge clk or negedge rst)
if(rst == 0) begin
state = s0;
out = 0;
end
else begin
case (state)
s0: begin
out = 0;
if(in == 0) state = s1;
else state = s0;
end
s1: begin
out = 0;
if(in == 0) state = s1;
else state = s2;
end
s2: begin
out = 0;
if(in == 0) state = s3;
else state = s0;
end
s3: begin
out = 1;
if(in == 0) state = s1;
else state = s2;
end
default: state = s0;
endcase
end
endmodule
Advertisement
RF