
Advantages and Disadvantages of Digital Signal Processing (DSP)
Explore the benefits and drawbacks of Digital Signal Processing (DSP), including accuracy, cost-effectiveness, power consumption, and implementation complexity.
Showing 21 posts (Page 1 of 1)
Advertisement
Explore the benefits and drawbacks of Digital Signal Processing (DSP), including accuracy, cost-effectiveness, power consumption, and implementation complexity.
Explore the key differences between analog and digital signal processing, their applications, and the conversion processes involved.
Explore the differences between ASIC and FPGA design flows, implementation steps, and key features to help you choose the right solution.
Explore the conversion between binary and Gray code, including logic diagrams, boolean functions, and VHDL/Verilog code examples.
Compare Convolutional (CNN) and Recurrent (RNN) Neural Networks, their architecture, use cases, and how each network processes data in DSP applications.
Learn the fundamentals of the CORDIC algorithm, its function for calculating trigonometric and hyperbolic functions, and common applications in signal processing.
Explore the differences between CPUs, DSPs, and FPGAs, including their architecture, programming models, performance, and suitable applications.
Decimation reduces a signal's sampling rate by removing samples. Learn about the process, the Nyquist-Shannon theorem, and the MATLAB command for decimation.
This page on Z-Transform vs Inverse Z-Transform describes basic difference between Z-Transform and Inverse Z-Transform.
Explore Digital Signal Controllers (DSCs), specialized microcontrollers combining MCU and DSP strengths for real-time control and high-speed signal processing across various applications.
Explore Digital Signal Processing (DSP), its applications in various fields, key components of DSP chips, development tools, and a list of prominent DSP chip vendors.
A comprehensive list of key DSP terms including OFDM, FFT, interpolation, decimation, convolution, and various encoding/decoding techniques.
Explore the pros and cons of embedded FPGAs (eFPGAs) including performance, power, cost, and flexibility, compared to traditional FPGAs.
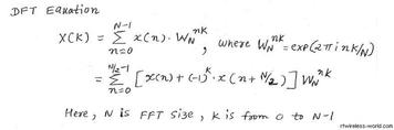
Explore the Fast Fourier Transform (FFT), an efficient algorithm for computing the Discrete Fourier Transform (DFT), its applications in signal processing and wireless technologies.
Explore the differences between FIR and IIR filters, including transfer function, memory, phase response, stability, power consumption, and applications in signal processing.
Explore the differences between floating-point and fixed-point DSPs in digital signal processing. Understand their architectures, precision, applications, and trade-offs.
Explore the benefits and drawbacks of FPGAs, including their flexibility, parallel processing capabilities, and limitations in power consumption and cost.
Explore the distinctions between FPGA and eFPGA, including architecture, customization, and applications. Understand which is better suited for your needs.
Explore FPGAs: their architecture with CLBs, advantages like reprogrammability and speed, applications in embedded systems, development tools, and VHDL/Verilog coding steps.
Explore IFFT and FFT, their differences, applications, and MATLAB examples. Learn how IFFT transforms frequency domain data to the time domain.
Explore the key differences between RISC processors and FPGAs, including their architecture, flexibility, performance, and applications.
Advertisement