
10% ASK vs 100% ASK Modulation: Differences Explained
Explore the differences between 10% ASK and 100% ASK modulation, focusing on their waveforms and relevance in NFC technology.
Showing 25 posts (Page 1 of 3)
Advertisement
Explore the differences between 10% ASK and 100% ASK modulation, focusing on their waveforms and relevance in NFC technology.
Explore the key differences between 16 QAM, 64 QAM, and 256 QAM modulation techniques, including bits per symbol, symbol rate, and applications.
This article compares 2FSK and 4FSK modulation techniques, highlighting key differences, mathematical representations, power spectrums, and applications.
Explore 8-PSK modulation, a type of digital modulation where the carrier's phase is changed to represent digital data. Learn about its principles and applications.
Explore the benefits and drawbacks of Adaptive Differential Pulse Code Modulation (ADPCM). Learn how it improves upon delta modulation and its applications in digital communication.
Explore the differences between Amplitude Modulation (AM), Frequency Modulation (FM), and Phase Modulation (PM) in this detailed comparison.
Explore the pros and cons of AM and FM modulation, covering coverage, noise, sound quality, and propagation characteristics.
Explore the fundamental differences between analog and digital modulation techniques, with clear examples of AM, FM, ASK, FSK, and PSK.
Explore the diverse applications of Binary Phase Shift Keying (BPSK) modulation in satellite, wireless, and deep-space communication due to its simplicity and robustness.
Explore the diverse applications of QPSK modulation in cellular networks, satellite communication, Wi-Fi, and more. Learn how QPSK balances spectral efficiency and robustness for high-speed data transmission.
Explore the pros and cons of Amplitude Shift Keying (ASK) modulation, including bandwidth efficiency, noise susceptibility, and application suitability.
This page on BPSK vs QPSK describes difference between BPSK and QPSK modulation techniques w.r.t. robustness, data rates, constellation diagrams, and power spectral density.
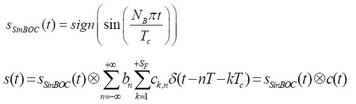
Explore BPSK and BOC (Sine, Cosine) modulation techniques used in GNSS. Understand their differences, equations, and power spectral densities.
Explore the advantages and disadvantages of Binary Phase Shift Keying (BPSK) modulation, including its robustness and power efficiency, alongside its limitations in data rate and bandwidth efficiency.
Learn about Binary Phase Shift Keying (BPSK), a digital modulation technique representing binary data with different carrier phases, and its applications in wireless communication.
Explore the differences between C4FM (Continuous 4 level FM) and CQPSK (Continuous Quadrature Phase Shift Keying) modulation, their applications, and signal characteristics.
Explore advantages and disadvantages of Carrierless Amplitude Phase Modulation (CAP), a variation of QAM used in xDSL.
Explore CDSK (Correlative Differential Shift Keying) using chaos signals, its implementation, advantages, and methods for BER improvement.
Explore the distinctions between clock and carrier recovery in communication systems, highlighting their roles in signal synchronization and information retrieval.
Explore the differences between constellation and eye diagrams, their applications in digital modulation, and how they represent signal characteristics.
Explore the benefits and drawbacks of Delta Modulation (DM), including its simplicity, redundancy removal, and limitations like slope overload and high bit rate.
This page on ASK vs FSK vs PSK describes difference between ASK,FSK and PSK modulation types including their advantages, disadvantages and applications in RF communication.
Explore DPSK modulation and demodulation techniques with block diagrams. Understand its advantages and disadvantages over BPSK, and its applications in wireless communication.
Explore the benefits and drawbacks of DPSK (Differential Phase Shift Keying) modulation, its process, and comparison with BPSK.
Explore the differences between DPSK and BPSK modulation techniques, including information representation, sensitivity to phase variations, and applications.
Advertisement