
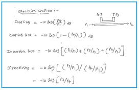
Directional Coupler Calculator
Calculate coupling, coupling loss, insertion loss, and directivity for directional couplers using this online calculator.
Showing 6 posts (Page 1 of 1)
Advertisement
Calculate coupling, coupling loss, insertion loss, and directivity for directional couplers using this online calculator.
Understand the difference between optical return loss (ORL) and optical insertion loss in fiber optic systems, their calculations, and significance.
Learn the fundamentals of RF cables, including types, key specifications like insertion loss and return loss, and popular manufacturers.
A guide to RF circulators: understand their function, specifications, and selection criteria for optimal signal routing in RF systems.
Explore the benefits and drawbacks of RF couplers, including signal monitoring, insertion loss, power handling, and frequency range considerations.
Learn how to choose the right RF isolator for your system. This guide covers key specifications such as frequency range, insertion loss, isolation, VSWR, and mechanical parameters.
Advertisement