NFC Rectangular Antenna Calculator
Advertisement
This page describes an NFC antenna calculator specifically designedfor rectangular shape to calculate the inductance and total capacitance of an NFC rectangular antenna.
NFC Antenna Calculator and Example
Here’s an example demonstrating how to use the NFC rectangular antenna calculator:
INPUTS: (Check the image for the meaning of each input parameter)
- a0 = 50 mm
- b0 = 40 mm
- w = 0.5 mm
- g = 0.5 mm
- t = 35 um
- N = 4
- Turn Exponent (p) = 1.8
- Desired Resonant Frequency = 13.56 MHz
OUTPUTS:
- Equivalent conductor diameter = 0.000341 meters (i.e 0.341 mm)
- Average length (a avg ) = 0.046 meters (i.e 46 mm)
- Average Width (b avg ) = 0.036 meters (i.e 36 mm)
- Inductance = 1.85 µH
- Required Capacitance for Resonance at Desired Frequency = 74.11 pF
Note: User can adjust the input parameters such as number of turns, spacing and dimensions to achieve the desired inductance and capacitance for their specific NFC application as well as resonance frequency.
Mils to mm Conversion Example
Here’s a simple example showing how to convert mils to mm:
- For example, 8 mils equal 0.2 mm, since 1 mil is equal to 0.0254 mm.
- Conversely, to convert mm to mils, you can use the formula: mils = mm / 0.0254. For instance, 0.5 mm is approximately 19.69 mils.
- Formula: 1 mm (millimeter) = 39.37 mils
NFC Rectangular Antenna Design
Following is an image of an NFC rectangular antenna design, which can be used as a reference when designing your own NFC rectangular antenna using the calculator above. There are two steps to design an NFC rectangular antenna:
- Step-1 : Calculate the inductance of the NFC rectangular antenna using the calculator above.
- Step-2 : Use the calculated inductance to determine the required capacitance for resonance at the desired frequency using the formula: C = 1 / (4 _ π^2 _ f^2 * L), where f is the desired resonant frequency and L is the calculated inductance.
Image Courtesy: NXP Semiconductors
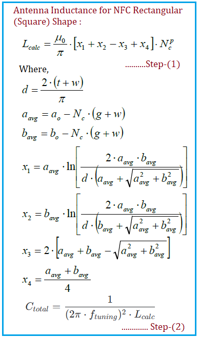
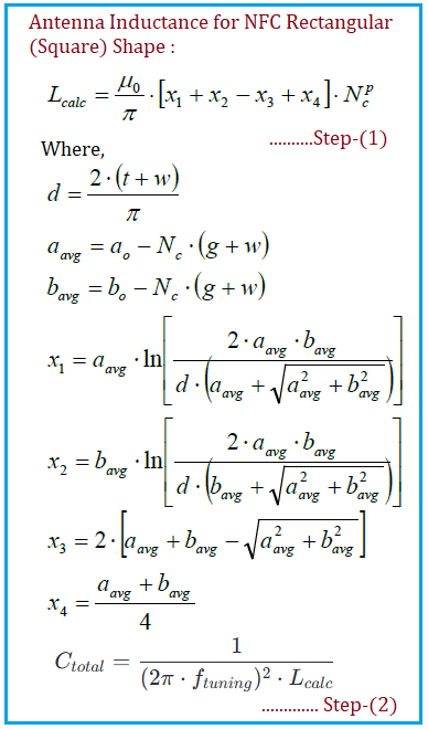
Formulas Used in the NFC Rectangular Antenna Calculator
- The following formulas are used in this NFC rectangular antenna calculator. These formulas are based on the design of rectangular loop antennas and are used to calculate the inductance and capacitance of the antenna based on its physical dimensions and desired resonant frequency.

This NFC rectangular antenna calculator is very useful tool for example to design a rectangular PCB antenna with common ISO card proportions (e.g. 50 mm x 40 mm).
References
- AN11276 - NTAG Antenna Design Guide , NXP Semiconductors (27 April 2016)
Advertisement
RF