Antenna Near Field Distance Calculator
Advertisement
This page provides information about and a calculator for determining the antenna near field distance.
The calculator determines the antenna near field distance based on the antenna’s dimensions and the signal’s wavelength.
EXAMPLE:
- INPUTS: Antenna largest dimension (d) = 2.4 meter, Frequency = 6 GHz
- OUTPUTS:
- Reactive Near Field radial distance = 10.3 meter
- Radiating Near Field Radial Distance = 230.4 meter
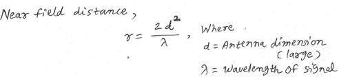
Antenna Near Field Distance Equation
As we know, the space surrounding an antenna is divided into four regions:
- Reactive near field (up to λ)
- Reactive radiating near field (up to 3*λ)
- Radiating (Fresnel) near field (up to 2*D2/λ)
- Radiating far field (>=2*D2/λ)
The following equation or formula is used for the antenna near field distance calculator:
Reactive Near Field radial distance is calculated using 0.62(D^3 / λ)^(1/2) equation.
The near field distance measurement is very useful for determining where the far field region starts, especially for electromagnetic field exposure level testing, as the field pattern is independent of distance in the far field.

Advertisement
RF