Fourier Transform vs. Laplace Transform: Key Differences Explained
Advertisement
This article breaks down the fundamental differences between the Fourier Transform and the Laplace Transform. Let’s dive in!
Fourier Transform
The Fourier Transform is a way to represent signals from the time domain in the frequency domain. Think of it as a way to see what frequencies make up a particular signal. It’s essentially an extension of the Fourier series concept, but applied to non-periodic signals.
Here are the equations for the Fourier Transform and its inverse:

The following tables show the Fourier Transforms of various common signals:


Key Properties of the Fourier Transform:
- The Fourier Transform of a real-valued signal is always even conjugate in nature.
- A shift in the time domain only changes the phase spectrum of the signal.
- Compression in the time domain leads to expansion in the frequency domain, and vice versa. This is an inverse relationship.
Laplace Transform
The main limitation of the standard (continuous) Fourier Transform is that it’s only defined for stable systems. The Laplace Transform overcomes this limitation; it can be defined for both stable and unstable systems.
Below are the equations for the Laplace Transform and its inverse:

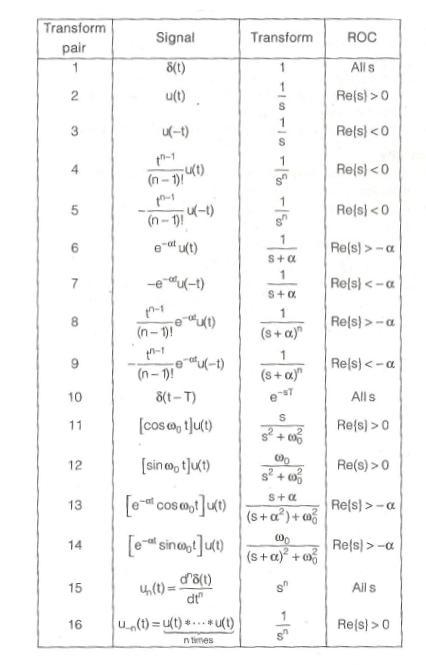
The following table shows the Laplace Transforms of various functions:

Converting Laplace to Fourier:
To convert a Laplace Transform to a Fourier Transform, simply replace ‘s’ with ‘j*w’, where ‘w’ is the radial frequency in radians per second (rad/s).
Advertisement
RF