5G NR Gold Sequence Generation in MATLAB
Advertisement
This page provides information on the 5G NR Gold sequence, including a MATLAB simulation of the gold sequence generator and its use in 5G NR technology.
Introduction
In 5G NR wireless systems, three main types of sequences are used: Zadoff-Chu sequences, Gold sequences, and m-sequences. Gold sequences are used in CP-OFDM, Zadoff-Chu sequences are used in DFT-s-OFDM (specifically for SSS), and m-sequences are used in PSS.
Gold Sequence Use in 5G NR
- It is a BPSK modulated sequence with a length of 127.
- It is used for the NR SSS (Secondary Synchronization Signal).
- It helps to resolve time/frequency offset ambiguity problems that were encountered with Zadoff-Chu sequences in previous LTE technology.
- SSS is a component of the 5G NR SS (Synchronization Signal) along with PSS.
- The combination of SS and PBCH (Physical Broadcast Channel) is referred to as SSB (SS Block) in NR.
- DMRS (Demodulation Reference Signal) sequences for CP-OFDM Physical layer are QPSK based on Gold sequences.
- Generic pseudo-random sequences are defined by a length-31 Gold sequence.
It is specified in TS 38.211 as follows:
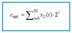
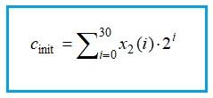
The output sequence of length , where , is defined as:
where and the first m-sequence is initialized with:
, , .
The initialization of the second m-sequence, , is denoted by , and its values depend on the specific application of the sequence.

Gold Sequence Generator in MATLAB
- MathWorks offers a Gold sequence generation program with m-files.
- You can download version 1.0.0.0 developed by Sanjeet Kumar from [MathWorks](Link needed, requires login). You’ll need to log in after subscribing to MathWorks.
- This m-file generates Gold Sequences of length 31 by taking the modulo-2 sum of two m-sequence generators.
Advertisement
RF