BPSK vs. BOC Modulation: Sine and Cosine BOC Explained
Advertisement
This article compares Binary Phase Shift Keying (BPSK) and Binary Offset Carrier (BOC) modulation techniques. We’ll delve into the specifics of Sine BOC and Cosine BOC modulation, both utilized in Global Navigation Satellite Systems (GNSS). GNSS employs various channel modulations, including BPSK, BOC (with its sine and cosine variations), Multiplexed BOC (MBOC), and Alternate BOC (AltBOC).
BPSK Modulation
The following equation represents a BPSK modulated Pseudo-Random Noise (PRN) sequence. Here, p(t) signifies the fundamental pulse, representing the binary data stream.

In GNSS, pulse shaping isn’t typically used. Therefore, p(t) = p Tc (t), which translates to a rectangular pulse.

The modulated signal can be expressed as the convolution of the code, navigation data, and modulation pulse.
BPSK stands for Binary Phase Shift Keying.
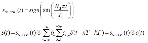
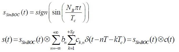
Sine BOC Modulation

Fig.1 Sine BOC modulation Waveforms
BOC, short for Binary Offset Carrier, is also referred to as square subcarrier modulation. In this technique, a PRN code with a chip rate of fc is multiplied by a rectangular subcarrier with a frequency of f sc. This process effectively splits the signal’s spectrum.

The Sine BOC time waveform is expressed as shown above.
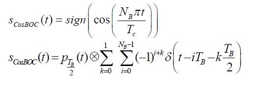
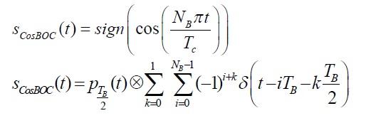
Cosine BOC Modulation

Fig.2 Cosine BOC modulation Waveforms
Cosine BOC can be modeled as a double Sine BOC modulation. The first stage involves modulation of order N B, while the second stage has a modulation order of 2.

The Cosine BOC time waveform is expressed as depicted in the image above.
PSD Spectrum of BPSK and BOC Modulation Types

Fig.3 PSD spectrum of BPSK and BOC modulations
The figure showcases the Power Spectral Density (PSD) spectrums of BPSK, Sine BOC, and Cosine BOC modulations.
Advertisement
RF