Microstrip to SIW Transition: Design and Width Calculation
Advertisement
This page explores the transition between Microstrip and Substrate Integrated Waveguide (SIW), and vice versa. It provides formulas and equations for calculating the width of this transition.
We’ve traditionally used two-wire cables and coaxial cables for transmitting electromagnetic (EM) waves. However, these transmission lines can suffer from radiation loss, skin effect, copper loss, and dielectric loss. Furthermore, their non-planar nature makes integration with planar circuits and components a complex task.
Metallic waveguides offer a better alternative, but they tend to be bulky and non-planar. SIW emerges as a compelling option, overcoming the limitations of metallic waveguides.
What is SIW?
SIW stands for Substrate Integrated Waveguide.

SIW is a planar structure fabricated using two rows of metallic via holes that connect the top and bottom planes, which are grounded. The dielectric material forms the middle layer of the SIW.
Like microstrip lines and coplanar lines, SIW components are compact, lightweight, cost-effective, and easy to fabricate.

Figure 2: Microstrip line to SIW Taper or Transition
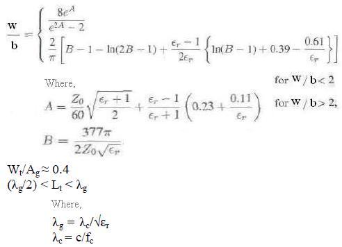
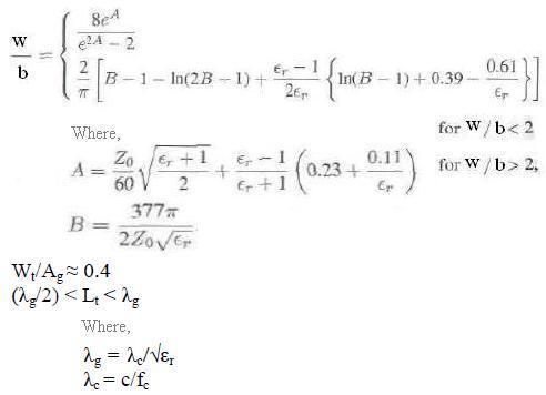
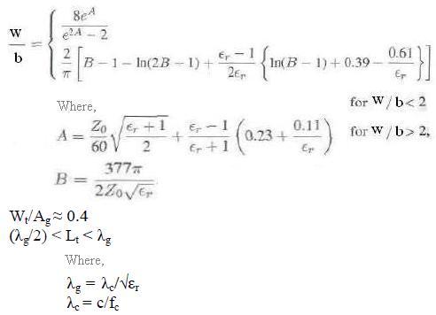
Microstrip to SIW Transition Width Calculation Formula
SIWs are fabricated on planar circuits, requiring integration with planar transmission lines like microstrip lines. This necessitates a microstrip to SIW transition, as depicted in Figure 2.

The microstrip line width by height can be determined as per the equation above. The equations use microstrip width “W” and waveguide width “Ag”.
Advertisement
RF