OFDM Preamble Generation in MATLAB for WLAN, WiMAX, and LDACS
Advertisement
OK. I will convert the article to markdown format as requested.
OFDM Preamble Generation in MATLAB for WLAN, WiMAX, and LDACS
This page describes OFDM preamble generation as used in WiMAX systems. The same principles apply to generating preambles used in WLAN and LDACS based OFDM systems. As we know, a fixed pattern called the preamble is used for time, frequency, and channel synchronization in many wireless systems such as WLAN, WiMAX, LTE, etc. In this page, we will see how this preamble is generated using the equations provided in the IEEE standards such as 802.11 and 802.16.
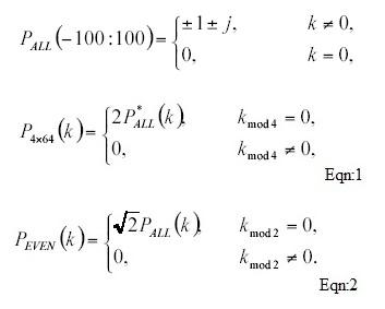
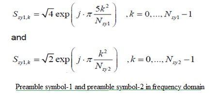
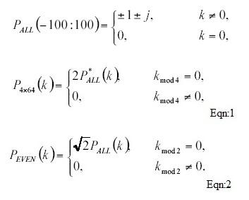
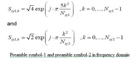
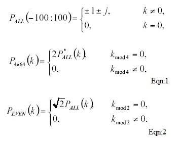
STEP 1: First, preamble synchronization sequences are generated for both symbols in the frequency domain as per the equations given in the standard. The following are the equations for symbol-1 and symbol-2 of the preamble as per the fixed WiMAX system. This is used for the OFDM based system. WiMAX uses a 256-point OFDM symbol. The downlink long preamble in WiMAX consists of two consecutive OFDM symbols. Symbol1 has four times 64 sequence. Symbol2 has 2 times 128 sequence.
In the frequency domain, these symbols are represented by and as per the equations mentioned in Figure 1. Both of these preamble symbols are derived from a sequence of the form as mentioned in the same figure.
Complete sequence for full bandwidth is mentioned in IEEE 802.16-2004 OFDM physical layer specifications.

STEP 2: After that, a 256-Point IFFT is performed for the frequency domain vector of symbol1 and symbol2 as generated using the above two equations in Step 1. Arrange the frequency domain values as per the IFFT structure shown below. Using this IFFT, obtain the time domain vector of both the symbols of the preamble.

STEP 3: Now, add a cyclic prefix for both the symbols as shown in the figure below. This provides the time domain preamble with CP for both the symbols, i.e., symbol1 and symbol2. Symbol1 is referred to as the short preamble, and symbol2 is referred to as the long preamble. The cyclic prefix is added to avoid the delay spread of the channel.

clc;
clear all;
close all;
%%%Preamble in frequency domain as provided in the wimax standard
%%%These are frequency domain 201 values in the order of 100 negative halves, DC and 100 positive
%%%halves
%%%STEP1
Pall= [1.0000 - 1.0000i 1.0000 - 1.0000i -1.0000 - 1.0000i 1.0000 + 1.0000i 1.0000 - 1.0000i 1.0000 - 1.0000i ...
-1.0000 + 1.0000i 1.0000 - 1.0000i 1.0000 - 1.0000i 1.0000 - 1.0000i 1.0000 + 1.0000i -1.0000 - 1.0000i ...
1.0000 + 1.0000i 1.0000 + 1.0000i -1.0000 - 1.0000i 1.0000 + 1.0000i -1.0000 - 1.0000i -1.0000 - 1.0000i ...
1.0000 - 1.0000i -1.0000 + 1.0000i 1.0000 - 1.0000i 1.0000 - 1.0000i -1.0000 - 1.0000i 1.0000 + 1.0000i ...
1.0000 - 1.0000i 1.0000 - 1.0000i -1.0000 + 1.0000i 1.0000 - 1.0000i 1.0000 - 1.0000i 1.0000 - 1.0000i ...
1.0000 + 1.0000i -1.0000 - 1.0000i 1.0000 + 1.0000i 1.0000 + 1.0000i -1.0000 - 1.0000i 1.0000 + 1.0000i ...
-1.0000 - 1.0000i -1.0000 - 1.0000i 1.0000 - 1.0000i -1.0000 + 1.0000i 1.0000 - 1.0000i 1.0000 - 1.0000i ...
-1.0000 - 1.0000i 1.0000 + 1.0000i 1.0000 - 1.0000i 1.0000 - 1.0000i -1.0000 + 1.0000i 1.0000 - 1.0000i ...
1.0000 - 1.0000i 1.0000 - 1.0000i 1.0000 + 1.0000i -1.0000 - 1.0000i 1.0000 + 1.0000i 1.0000 + 1.0000i ...
-1.0000 - 1.0000i 1.0000 + 1.0000i -1.0000 - 1.0000i -1.0000 - 1.0000i 1.0000 - 1.0000i -1.0000 + 1.0000i ...
1.0000 + 1.0000i 1.0000 + 1.0000i 1.0000 - 1.0000i -1.0000 + 1.0000i 1.0000 + 1.0000i 1.0000 + 1.0000i ...
-1.0000 - 1.0000i 1.0000 + 1.0000i 1.0000 + 1.0000i 1.0000 + 1.0000i -1.0000 + 1.0000i 1.0000 - 1.0000i ...
-1.0000 + 1.0000i -1.0000 + 1.0000i 1.0000 - 1.0000i -1.0000 + 1.0000i 1.0000 - 1.0000i 1.0000 - 1.0000i ...
1.0000 + 1.0000i -1.0000 - 1.0000i -1.0000 - 1.0000i -1.0000 - 1.0000i -1.0000 + 1.0000i 1.0000 - 1.0000i ...
-1.0000 - 1.0000i -1.0000 - 1.0000i 1.0000 + 1.0000i -1.0000 - 1.0000i -1.0000 - 1.0000i -1.0000 - 1.0000i ...
1.0000 - 1.0000i -1.0000 + 1.0000i 1.0000 - 1.0000i 1.0000 - 1.0000i -1.0000 + 1.0000i 1.0000 - 1.0000i ...
-1.0000 + 1.0000i -1.0000 + 1.0000i -1.0000 - 1.0000i 1.0000 + 1.0000i 0.0000 + 0.0000i -1.0000 - 1.0000i ...
1.0000 + 1.0000i -1.0000 + 1.0000i -1.0000 + 1.0000i -1.0000 - 1.0000i 1.0000 + 1.0000i 1.0000 + 1.0000i ...
1.0000 + 1.0000i -1.0000 - 1.0000i 1.0000 + 1.0000i 1.0000 - 1.0000i 1.0000 - 1.0000i 1.0000 - 1.0000i ...
-1.0000 + 1.0000i -1.0000 + 1.0000i -1.0000 + 1.0000i -1.0000 + 1.0000i 1.0000 - 1.0000i -1.0000 - 1.0000i ...
-1.0000 - 1.0000i -1.0000 + 1.0000i 1.0000 - 1.0000i 1.0000 + 1.0000i 1.0000 + 1.0000i -1.0000 + 1.0000i ...
1.0000 - 1.0000i 1.0000 - 1.0000i 1.0000 - 1.0000i -1.0000 + 1.0000i 1.0000 - 1.0000i -1.0000 - 1.0000i ...
-1.0000 - 1.0000i -1.0000 - 1.0000i 1.0000 + 1.0000i 1.0000 + 1.0000i 1.0000 + 1.0000i 1.0000 + 1.0000i ...
-1.0000 - 1.0000i -1.0000 + 1.0000i -1.0000 + 1.0000i 1.0000 + 1.0000i -1.0000 - 1.0000i 1.0000 - 1.0000i ...
1.0000 - 1.0000i 1.0000 + 1.0000i -1.0000 - 1.0000i -1.0000 - 1.0000i -1.0000 - 1.0000i 1.0000 + 1.0000i ...
-1.0000 - 1.0000i -1.0000 + 1.0000i -1.0000 + 1.0000i -1.0000 + 1.0000i 1.0000 - 1.0000i 1.0000 - 1.0000i ...
1.0000 - 1.0000i 1.0000 - 1.0000i -1.0000 + 1.0000i 1.0000 + 1.0000i 1.0000 + 1.0000i -1.0000 - 1.0000i ...
1.0000 + 1.0000i -1.0000 + 1.0000i -1.0000 + 1.0000i -1.0000 - 1.0000i 1.0000 + 1.0000i 1.0000 + 1.0000i ...
1.0000 + 1.0000i -1.0000 - 1.0000i 1.0000 + 1.0000i 1.0000 - 1.0000i 1.0000 - 1.0000i 1.0000 - 1.0000i ...
-1.0000 + 1.0000i 0.0000 + 0.0000i -1.0000 + 1.0000i -1.0000 + 1.0000i 1.0000 - 1.0000i -1.0000 - 1.0000i ...
-1.0000 - 1.0000i 1.0000 - 1.0000i -1.0000 + 1.0000i -1.0000 - 1.0000i -1.0000 - 1.0000i 1.0000 - 1.0000i ...
-1.0000 + 1.0000i -1.0000 + 1.0000i -1.0000 + 1.0000i 1.0000 - 1.0000i -1.0000 + 1.0000i 1.0000 + 1.0000i ...
1.0000 + 1.0000i 1.0000 + 1.0000i -1.0000 - 1.0000i -1.0000 - 1.0000i -1.0000 - 1.0000i -1.0000 - 1.0000i ...
1.0000 + 1.0000i 1.0000 - 1.0000i 1.0000 - 1.0000i];
for k=1:201
c=mod(k,4);
if c==1
S1(k)=2*conj(Pall(k));
end
S1(k+1)=0;
end
for k=1:201
c=mod(k,2);
if c==1
S2(k)= sqrt(2)*(Pall(k));
end
S2(k+1)=0;
end
%%STEP2
%Arranging the preamble symbol1 and symbol2 as per 256 IFFT structure and taking IFFT
S1=[0,S1(102:201),zeros(1,28),zeros(1,27),S1(1:100)];
S2=[0,S2(102:201),zeros(1,28),zeros(1,27),S2(1:100)];
S1_td=ifft(S1,256);
S2_td=ifft(S2,256);
%%STEP3
%Adding CP to the time domain preamble symbol1 and symbol2
CP=64;
S1_tdcp1=[S1_td(end-CP+1:end) S1_td];
S2_tdcp1=[S2_td(end-CP+1:end) S2_td];
preamble = [S1_tdcp1 S2_tdcp1];
x1=corr(S1_tdcp1,S1_tdcp1);
x2=corr(S2_tdcp1,S2_tdcp1);
%%%Correlation of symbol1 with itself will have four peaks
figure;
plot(abs(x1));
title('short preamble spectrum');
%%%Correlation of symbol2 with itself will have two peaks
figure;
plot(abs(x2));
title('long preamble spectrum');
save file_wimax_preamble S1_tdcp1 S2_tdcp1;

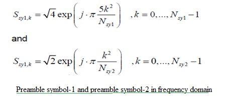
The figure above shows LDACS preamble equations used to generate LDACS compliant preamble in the frequency domain. After this, the same is arranged and converted to the time domain preamble using IFFT. Later, CP is added to take care of the delay spread of the channel.
Advertisement
RF