TE vs. TM Waves: Understanding the Differences
Advertisement
This article explores the differences between TE (Transverse Electric) and TM (Transverse Magnetic) waves. Both wave modes are found in hollow, metal-based rectangular waveguides, where they represent different ways that electromagnetic waves can propagate. Notably, TEM (Transverse Electromagnetic) mode does not exist in this type of structure.
What are TE and TM Waves?
- TE Wave (Transverse Electric Wave): In this mode, the electric field (E field) is entirely transverse to the waveguide. This means the E field is perpendicular to the broader dimension of the waveguide.
- TM Wave (Transverse Magnetic Wave): Conversely, in TM mode, the magnetic field (H field) is wholly transverse to the waveguide, meaning it’s perpendicular to the broad dimension.

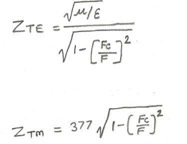
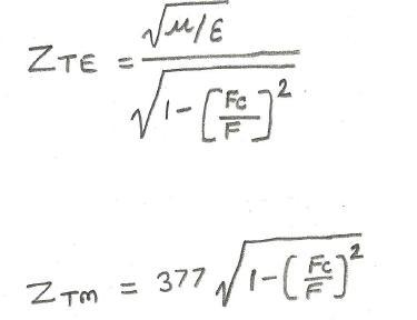
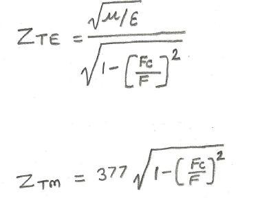
The figure above illustrates the TE mode impedance and TM mode impedance equations.
Advertisement
RF