Maxwell's Electromagnetic Equations Explained
Advertisement
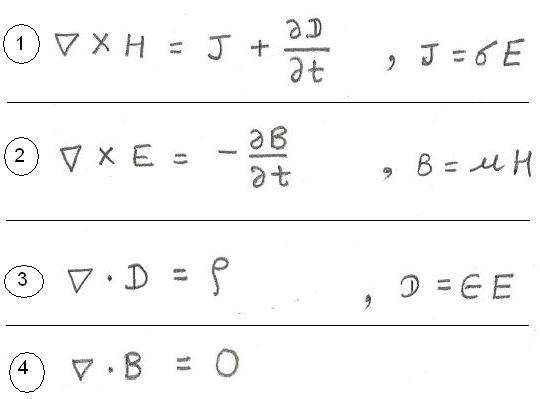
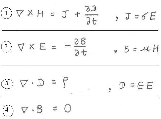
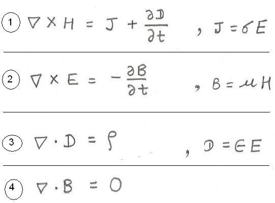
This page describes Maxwell’s electromagnetic equations. It includes Ampere’s law, Faraday’s law, and Gauss’s law.

Maxwell Equation 1: Ampere’s Law
As mentioned above, a change in the electric field (E) produces a magnetic field (H). Mathematically, this can be represented (in one form) as:
Where:
- B is the magnetic field
- dl is an infinitesimal element of the closed loop
- is the permeability of free space
- I is the current enclosed by the loop
- is the permittivity of free space
- E is the electric field
- dA is an infinitesimal area element
Maxwell Equation 2: Faraday’s Law of Induction
As mentioned, a change in the magnetic field produces an electric field. This is the principle behind electromagnetic induction. The mathematical expression (in integral form) is:
Where:
- E is the electric field
- dl is an infinitesimal element of the closed loop
- B is the magnetic field
- dA is an infinitesimal area element
Maxwell Equation 3: Gauss’s Law for Electric Field
As mentioned above, electric charge can be either a source or a sink of electric fields. This law relates the electric field to the distribution of electric charge. The mathematical expression is:
Where:
- D is the electric displacement field
- dA is an infinitesimal area element
- is the enclosed charge
Maxwell Equation 4: Gauss’s Law for Magnetic Field
As mentioned, working around the loop is zero, i.e., the divergence of the magnetic flux density (B) is equal to zero. This implies that magnetic monopoles do not exist; magnetic field lines always form closed loops. The mathematical expression is:
Where:
- B is the magnetic field
- dA is an infinitesimal area element
Advertisement
RF