Power vs Energy: Understanding the Key Differences
Advertisement
This page explains the difference between power and energy. It mentions types of power e.g. average power, pulse power, modulated power and RMS power. Units of power and energy as well as formulas are also mentioned. These two are two different terms used to represent the same thing in different units of measure.
Power is energy per unit time. Power is proportional to the energy change rate of one joule per second i.e. 1 W = 1 J/Second. For example, an electric lamp having a power of 100 W changes 100 J of electrical energy into heat and light energy each second.

Figure 1 depicts a circuit consisting of a resistor in series which is fed by an AC source. Power of a CW signal at frequency of f0 (=1/T0) is expressed as follows:

Where:
- T0 = AC period of the signal
- Vpeak = Peak Voltage
- Ipeak = Peak Current
- φ = phase angle between voltage and current waveform
- n = Number of AC periods
The unit of power is watt or milliwatt or microwatt. The power used for radio frequency (RF) can be expressed in dBm, dBW, dBµW etc. Power is measured using a power meter.

This equation can be obtained for n = (1,2,3,…)
Energy
RF energy is measured for EM waves which consist of electric (E) and magnetic field (H) components. E-field strength is measured in V/m and H-field strength is measured in A/m. RF energy is referred to as power density or power per unit area. RF energy is measured in units of W/m2.
Energy is measured using an energy meter or smart meter.

Energy of the DC voltage across a resistor is expressed as above. The equations when V is DC voltage as well as when C is sinusoidal voltage are also mentioned.
Types of Power - Average Power, Pulse Power, Modulated Power, RMS Power
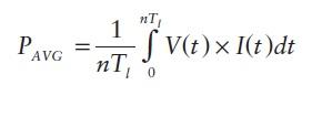
Average Power
For average power, the energy transfer rate is averaged over some time period. For a Continuous Wave signal, the lowest and highest frequency are the same, and hence both average power and power are equal. This is very useful for amplitude-modulated waveforms. In this case, power is averaged over many periods of the modulated signal. Average power is expressed as follows:

In the equation, Tl is the period of the low-frequency component of I(t) and V(t).
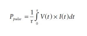
Pulse Power
The power which is averaged over the pulse width of size τ is known as pulse power. It is expressed as follows:

Modulated Power
In the case of modulated or pulsed power measurement, the shape of the signal is very important. For signals having a higher peak-to-average ratio, a crest factor is used. This crest factor is used for both voltage or power.
The crest factor for a sinusoidal wave (pure) is
For a Pulsed signal, it is equal to
When the crest factor increases, the energy content of a signal having a high order of harmonics will also increase.
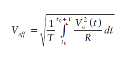
RMS Power
It is referred to as root mean squared power. Energy equations for DC voltage across a resistor have been mentioned above. For RMS power, the effective voltage is to be determined as per the equation mentioned below.

By substituting the effective voltage into the power equation, RMS power can be expressed as follows:
RF, electrical, and electronics engineers can utilize this basic knowledge of power, energy, and types of power for test and measurement and other application areas.
The following table summarizes important differences between power and energy.
| Feature | Power | Energy |
|---|---|---|
| Definition | Power equals the multiplication of voltage and current in the circuit. It is also proportional to the energy change rate in one second. | RF energy is equal to power density or power per unit area. |
| Unit of measurement | Watt, dBW, dBm, dBµW | Joule or W/m2 |
| Measuring equipment | Power meter | Energy meter, smart meter |
Advertisement
RF