a-law vs μ-law : difference between a-law and μ-law companding
Advertisement
Introduction: Companding, short for compressing-expanding, is a signal processing technique used to improve the signal to noise ratio (SNR) and dynamic range of a communication channel.
A-law companding is predominantly used in European telephone networks, while μ-law companding is utilized in the telephone systems of the USA and Japan.
The crucial distinction lies in their compression and expansion curves. Due to this incompatibility, conversion circuits are essential for seamless interoperability between systems employing A-law and μ-law. Telecommunication regulations mandate the use of these conversion circuits for telephone systems utilizing μ-law.
This page explores the difference between A-law and μ-law, two companding techniques widely used in telephone systems.
A-Law Compander and Expansion
A-law is the standard companding technique recommended by the CCITT (now ITU-T) and is prevalent across Europe.
The A-law equation can be derived by limiting the linear sample value to the equivalent of 12 bits. The equation is as follows:

Where:
- A is the compression parameter (approximately 87.7 in Europe)
- x is the normalized integer that needs compression.
The compression and expansion processes, as defined by the A-law equation, are illustrated below. This entire encoding and decoding process is referred to as A-law companding and expansion.

μ-Law Compander and Expansion
μ-law is the companding standard used in the US and Japan.
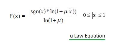
By limiting the linear sample value to the equivalent of 13 bits, we can obtain the μ-law equation:

Where:
- μ (i.e. mu) is the compression parameter (approximately 255 in the US and Japan)
The compression and expansion as per the μ-law equation are visually represented below. This entire encoding and decoding process is known as μ-law companding and expansion.

Key Difference Between A-Law and μ-Law (mu-law)
While the encoding and decoding processes are conceptually similar in both A-law and μ-law, some critical differences exist:
- Input Data: μ-law encoders operate on linear 13-bit magnitude data, while A-law uses 12-bit magnitude data.
- Bias: Before chord determination in μ-law, a bias value of 33 is added to the absolute value of the linear input data to simplify chord and step calculations.
- Sign Bit: The definition of the sign bit is reversed in μ-law.
- Inversion: In μ-law, the inversion pattern is applied to all bits in the 8-bit code.
Summary : A-Law and μ-Law are companding algorithms used in digital telephony to optimize the dynamic range of audio signals. A-Law is primarily used in Europe and international systems (per ITU-T G.711), while μ-Law is used mainly in North America and Japan. μ-Law offers slightly better signal-to-noise ratio, but A-Law provides a more uniform quantization noise profile.
Advertisement
RF