Bridged Tee Attenuator Calculator
Advertisement
This page explains the Bridged Tee attenuator calculator and its formula.
This calculator takes impedance and attenuation as inputs and calculates the necessary resistances (R1 and R2) as outputs, based on the diagram shown below.

Figure 1: Bridged Tee Attenuator Circuit
Bridged Tee Attenuator Calculator Example
INPUTS:
- Impedance = 50 Ohms
- Attenuation = 6 dB
OUTPUTS:
- R1 = 49.763 Ohms
- R2 = 50.238 Ohms
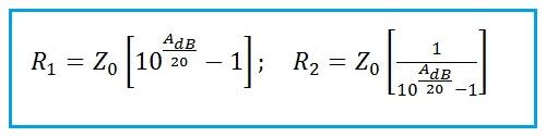
Bridged Tee Attenuator Calculator Formula
The following equations are used for the Bridged Tee Attenuator calculator:

Advertisement
RF