BJT Calculator & Formula : Transistor Bias & Current Tool
Advertisement
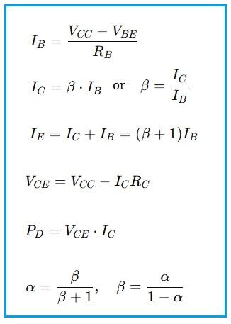
A Bipolar Junction Transistor (BJT) is a fundamental semiconductor device widely used for amplification and switching applications. Accurate BJT analysis requires understanding the relationship between base, collector, and emitter currents, as well as voltage levels that define the transistor’s operating region. The BJT Calculator simplifies these calculations by allowing users to compute current gain, bias currents, voltages, and power dissipation using standard BJT formulas. This tool is especially useful for students learning transistor theory and engineers designing analog circuits.
BJT Transistor Calculator
EXAMPLE:
INPUTS:
- Vcc = 10 V
- Beta = 100
- Rbase = 100 KOhms
- VBE = 0.7 Volts
OUTPUT:
- Ib = 93 uA
- Ic = 9.3 mA
- Ie = 9.393 mA
- Vce = 0.7 Volts
- Alpha = 0.99
BJT Transistor Formula

Summary: The BJT calculator provides fast and reliable computation of essential transistor parameters such as base current, ollector current, emitter current, and collector emitter voltage. This calculator is ideal for educational use, circuit troubleshooting, and practical design validation.
Advertisement
RF