5G NR UCI: Uplink Control Information Explained
Advertisement
This page describes 5G NR UCI (Uplink Control Information). It mentions PUCCH formats used to carry various UCI payload sizes in 5G NR uplink.
Introduction
UCI (Uplink Control Information) is carried by the PUCCH channel in 5G NR. UCI consists of HARQ (Hybrid Automatic Repeat Request) feedback, CSI (Channel State Information), and SR (Scheduling Request).

5G NR PUCCH
There are two types of PUCCH: short and long. Various PUCCH formats are mentioned in the following table.
| PUCCH Format | Length of OFDM symbols | Number of Bits |
|---|---|---|
| 0 (Short) | 1-2 | <=2 |
| 1 (Long) | 4 to 14 | <=2 |
| 2 (Short) | 1 to 2 | >2 |
| 3 (Long) | 4 to 14 | >2, <N |
| 4 (long) | 4 to 14 | >N |
- 5G NR PUCCH is flexible in the time and frequency domains.
- The PUCCH channel utilizes five PUCCH formats.
- PUCCH formats 0 and 2 occupy 1 or 2 OFDM symbols. They are known as short PUCCH.
- PUCCH formats 1, 3, and 4 occupy 4 to 14 OFDM symbols. They are known as long PUCCH.
- PUCCH formats 0 and 1 carry UCI payloads having 1 or 2 bits.
- Other PUCCH formats carry UCI payloads having more than 2 bits.
- In PUCCH formats 1, 3, and 4, symbols with DMRS (Demodulation Reference Signal) are time division multiplexed with UCI symbols to achieve low PAPR (Peak-to-Average Power Ratio). In PUCCH format 2, DMRS is frequency multiplexed with data subcarriers.
A UE (User Equipment) can be configured with PUCCH resources for CSI reporting or SR. For UCI transmission including HARQ-ACK bits, a UE may be configured with up to 4 PUCCH resource sets based on the UCI size. The first set can only be used for a maximum of 2 HARQ-ACK bits (with a maximum of 32 PUCCH resources), and other sets are applicable for more than 2 bits of UCI (each with a maximum of 8 PUCCH resources). A UE determines the set based on the UCI size and indicates a PUCCH resource in the set based on a 3-bit field in DCI (Downlink Control Information).
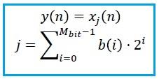
PUCCH format-0 (<=2 bits)

PUCCH Format-0
- PUCCH is based on sequence selection with low PAPR.
- Sequence length is 12 REs (Resource Elements).
- Information is delivered by transmitting different sequences/codes.
- It can transmit HARQ-ACK and SR.

Equation-1
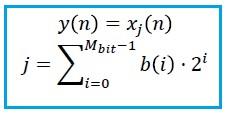
PUCCH format-1 (<=2 bits)

PUCCH format-1
- DMRS always occurs in every other symbol in the long PUCCH.
- Uses BPSK and QPSK modulations.
- Sequence length is 12 REs.
- The modulated symbol is spread with a Zadoff-Chu sequence with OCC (Orthogonal Cover Code) in the time domain.

Equation-2
PUCCH format-2 (> 2 bits)

PUCCH format-2
- DMRS is mapped on REs {1,4,7,10} for each PRB (Physical Resource Block).
- The DMRS sequence is based on PUSCH (Physical Uplink Shared Channel).
- Uses contiguous PRB allocation.
PUCCH format-3 (>2 bits, <N bits)
PUCCH format-4 (>N bits)
Advertisement
RF