ABCD Matrix to S-Matrix Conversion and Basics
Advertisement
This page explains the basics of the ABCD matrix and the S-matrix. It provides the formulas for converting an ABCD matrix to an S-matrix and vice versa.
What is S-Matrix?
- The S-matrix is composed of S-parameters, also known as scattering parameters.
- It’s known as the scattering matrix.
- It describes the electrical behavior of linear electrical networks when subjected to steady-state stimuli using electrical signals.
- S-parameters don’t rely on open-circuit and short-circuit conditions.
- Instead, they use matched loads to characterize linear electrical networks. This is easier to implement at higher frequencies compared to short/open circuit terminations.
The following figure illustrates a 2-port network with S-parameters. A set of linear equations is used to describe the network in terms of injected and transmitted waves.

- Sij = bi/aj = [(Power measured at port-i)/(Power injected at port-j)]0.5
Where:
-
Sii = ratio of reflected power to injected power at port-i
-
Sij = ratio of power measured at port-j to power injected at port-i
-
Electrical circuits or networks are composed of inductors, capacitors, or resistors in their basic form. Some of their parameters, such as return loss, insertion loss, gain, VSWR, and reflection coefficients, are represented by S-parameters.
-
S-parameters are similar to other parameters like Z-parameters, Y-parameters, H-parameters, T-parameters, and ABCD-parameters.
-
The following equations are used to derive various S-parameters such as S11, S12, S21, and S22.

Let’s understand the ABCD matrix before exploring the conversion between the S-matrix and the ABCD matrix.
What is ABCD Matrix?
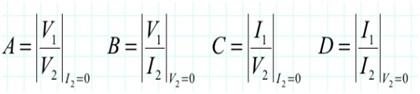
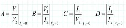
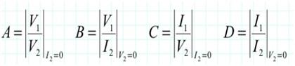
- It describes a network in terms of both voltage and current waves, as shown below.
- It’s also known as the transmission matrix.
- It’s suitable for cascading elements since it represents ports in terms of currents and voltages. The matrices are cascaded by multiplication.

- Coefficients are defined using superposition as follows.
- ABCD parameters are expressed as follows.

S-parameters are measured using a Vector Network Analyzer (VNA). These measurements can then be converted to an ABCD matrix. The ABCD matrix can also be converted back to an S-matrix.
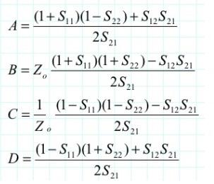
Convert ABCD Matrix to S-Matrix
The following equations are used to convert an ABCD matrix to an S-matrix.

Convert S-Matrix to ABCD Matrix
The following equations are used to convert an S-matrix to an ABCD matrix.

Advertisement
RF