Microwave Transmission Line Basics
Advertisement
This article outlines the basics of microwave transmission lines, including the types of transmission lines and their advantages. Transmission lines are used to transport RF energy between different parts of a system. Common applications include connecting the exciter’s output port to the transmitter’s input port, and the transmitter’s output port to the antenna’s input port.
Transmission lines are characterized by three basic electronic components: Resistance (R), Inductance (L), and Capacitance (C), as depicted in the figure below.
An alternative method for transporting RF energy is via waveguides.

Fig.1 Microwave Transmission line
Types of Transmission Lines
Here are the common types of transmission lines:
- Parallel Line
- Coaxial Line (standard)
- Gas Filled Coaxial Line
- Coaxial Line (Air Articulated dielectric)
- Double Shielded Coaxial Line
- Parallel Line (Shielded)
- Microstrip line
Transmission Line Characteristic Impedance
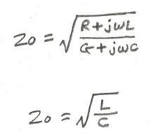
As shown in the figure above, a transmission line can be thought of as an RLC network. Its characteristic impedance, Zo, depends on the per-unit-length parameters: Resistance (R), Conductance (G), Inductance (L), and Capacitance (C). The relationship is described by the equation below:

Here:
- Zo is the characteristic impedance in Ohms.
- w = angular frequency in radians per second (2πF)
- R is in Ohms, G in Mhos, L in Henrys, C in Farads, and all are per unit length values.
At microwave frequencies, R and G are negligible compared to L and C, so Zo depends primarily on the L and C parameter values. This simplified relationship is reflected in the equation. In essence, at microwave frequencies, a transmission line behaves primarily as an LC network, with inductors in series and capacitors in parallel.
Example:
Calculate the characteristic impedance (Zo) for a lossless microwave transmission line with a unit length inductance of 4nH and a unit length capacitance of 2 pF.
Zo = √(L/C) = √(4 x 10-9 H / 2 x 10-12 F) = √(2000) ≈ 44.72 Ohm
For a parallel wire transmission line, the characteristic impedance is determined by the following equation:
Zo = 276 * Log (2*S/d) Ohm
Where:
- d is the diameter of the conductor used in the parallel line.
- S is the spacing between the two conductors.
Transmission Line Equations
- Velocity of wavefront transmitted along the transmission Line: v = 1 / √(LC)
- Transmission Line impedance as a function of voltage and current: ZL = (Vinc + Vref) / (Iinc + Iref)
Advertisement
RF